ATX: VERBUND ohne Hoffnungsschimmer
Monatschart VERBUND WKN: 877738 | ISIN: AT0000746409 - Datum 24.06.2013 - Uhrzeit 08:18
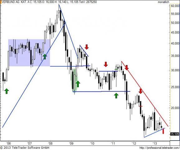
Charttechnischer Ausblick 24.06.13: Wir greifen der Monatskerze zwar eine Handelswoche voraus, aber diese Vorwarnzeit will gut genutzt werden. Schließlich vollendet VERBUND im Juni damit eine gewaltige bearische Fortsetzungsformation. Ziehen wir herkömmliche charttechnische Kurszielermittlungsmethoden heran, sehen wir die Aktie in einigen Monaten um 7? herum wieder. Sicher scheint zumindest ein neuer Angriff auf die magische 10?-Marke, und schon bis dahin wäre es ein Kursverlust von gewaltigen 33%. Keine schönen Aussichten also, für Abhilfe könnte nur ein Ausbruch auf über 20? sorgen.
Letztes Update 31.05.12: Das wars dann wohl für VERBUND mit einem bisher noch möglich gewesenen bullischen Börsensommer. Die Erholung auf über 25? blieb aus, stattdessen lieferte die Rückkehr an diese gebrochene Unterstützung ein schönes neues Verkaufsignal mit der Aprilkerze. Langfristig ist ein Kursziel von 15? nun das geringste Problem für die Aktie, viel eher richten sich die Blicke bereits auf die magische 10er-Marke.

Offenlegung gemäß §34b WpHG wegen möglicher Interessenkonflikte: Der Autor ist in den besprochenen Wertpapieren bzw. Basiswerten zum Zeitpunkt der Veröffentlichung dieser Analyse nicht investiert.

In Kooperation mit BörseGo AG
|